Derivada
De la función f(x), es aquella función denotada por f(x) tal que su valor de función en cualquier numero x en el dominio de f(x) esta dada por
f´(x)=lim f ( x + h ) - f ( x ) / h h->0

Teoremas de derivadas
Es necesario conocer y comprender la definición de derivada , ya que sirven para poder calcular la derivada de cualquier función mediante formulas.

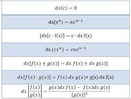
Teorema 1
Si f ( x ) = C ( C una constante ) para toda X, entonces f´ ( x ) = 0

Teorema 2
Si f ( x ) = x ^ n N es un entero positivo, entonces f´ ( x ) = nx ^ n-1

Teorema 3
Si g ( x ) = C f ( x ), C una constante, entonces g´ ( x ) = C f´ ( x ), si f´ ( x ) existe

Teorema 4
Si f ( x ) y g ( x ) son dos funciones tales que f´ ( x ) y g´ ( x ) existen, entonces Dx [ f ( x ) + g ( x ) ] = Dx f ( x ) + Dx g ( x )

Teorema 5
Si f ( x ) y g ( x ) son funciones cuyas derivadas existen , entonces Dx [ f ( x ) g ( x ) ] = f´ ( x ) g ( x ) + g´ ( x ) f ( x )

Teorema 6
Si f ( x ) y g ( x ) sus funciones donde g ( x ) = 0 y cuyas derivadas existen , entonces Dx [ f ( x ) / g ( x ) ] = g ( x ) f´ ( x ) - f ( x ) g´ ( x ) / [ g ( x )]^2

Teorema 7
Si n es un racional positivo es Dx ( x^- n ) = - nx ^-n-1

